當前位置:首頁 » 中華陳氏譜序集錦 »

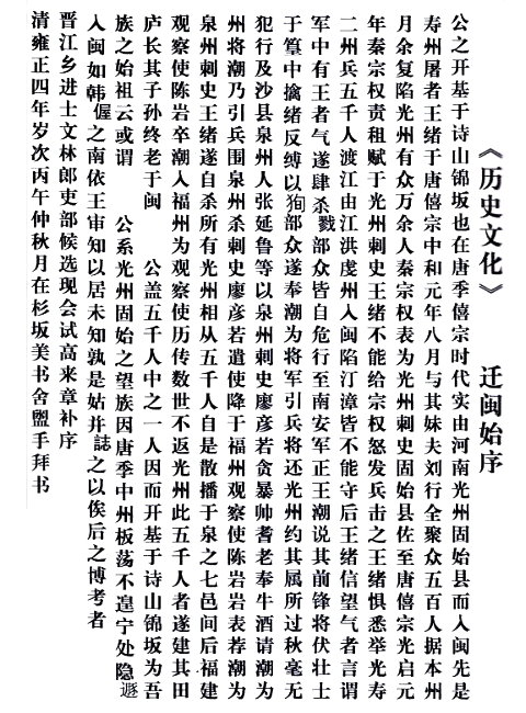
武榮詩山錦坂陳氏肇修族譜序

作者:  來源:南陳宗親網  更新時間:2016年06月10日

武榮詩山錦坂陳氏肇修族譜序

 

Copyright©2006 - 2016 www.nanchens.com  版權所有:南陳宗親網

網站管理員:陳承溢 電話:0852 - 9802 6641 傳真:0852 - 2911 4810 電郵:cs@nanchens.com QQ:2668771678

如果本站中有內容侵犯了您的版權,請您通知我們,我們將及時取得您的授權或馬上刪除。謝謝!