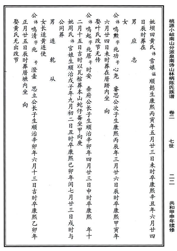
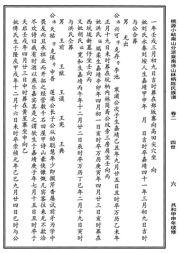
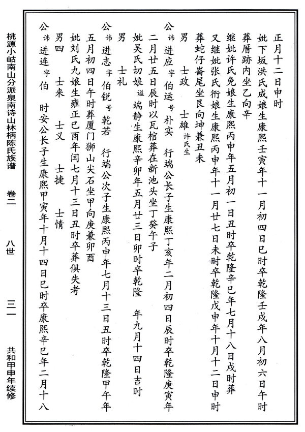
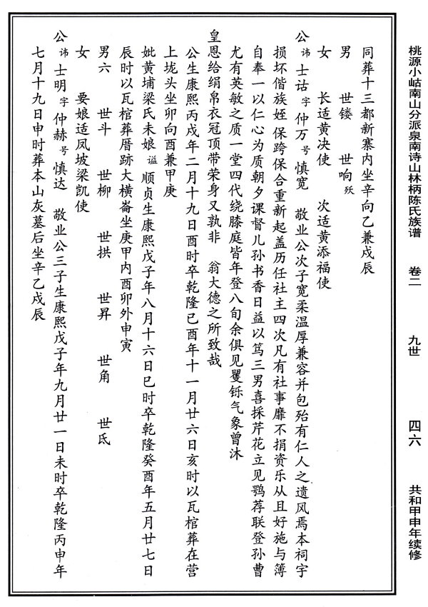
詩山林柄陳氏族譜

第二卷 P.001 - 050