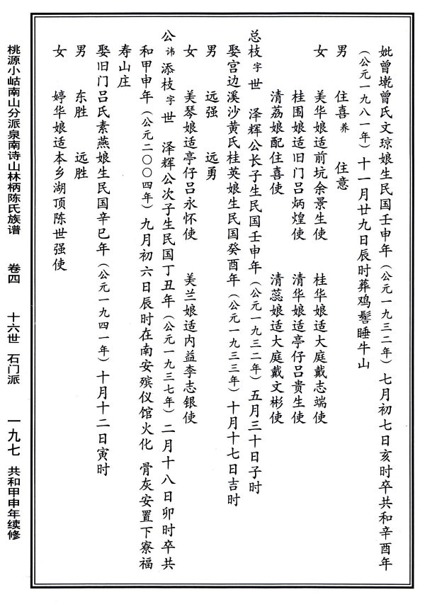
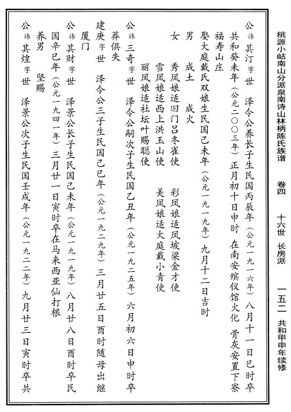
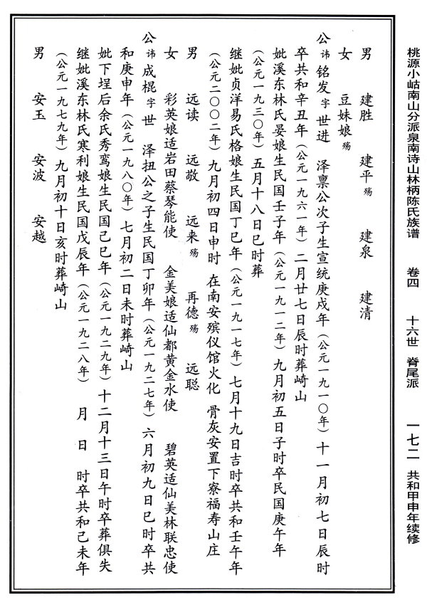
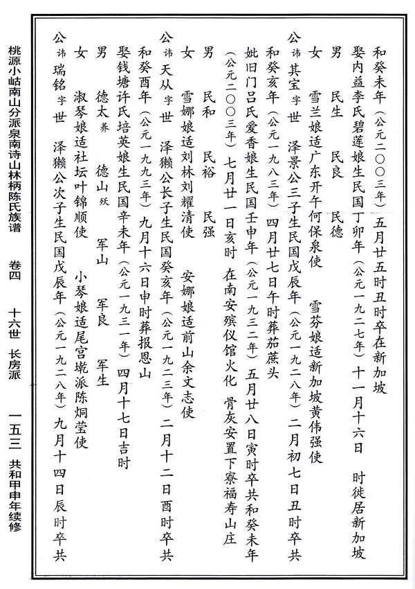
詩山林柄陳氏族譜

第四卷 P.151 - 200