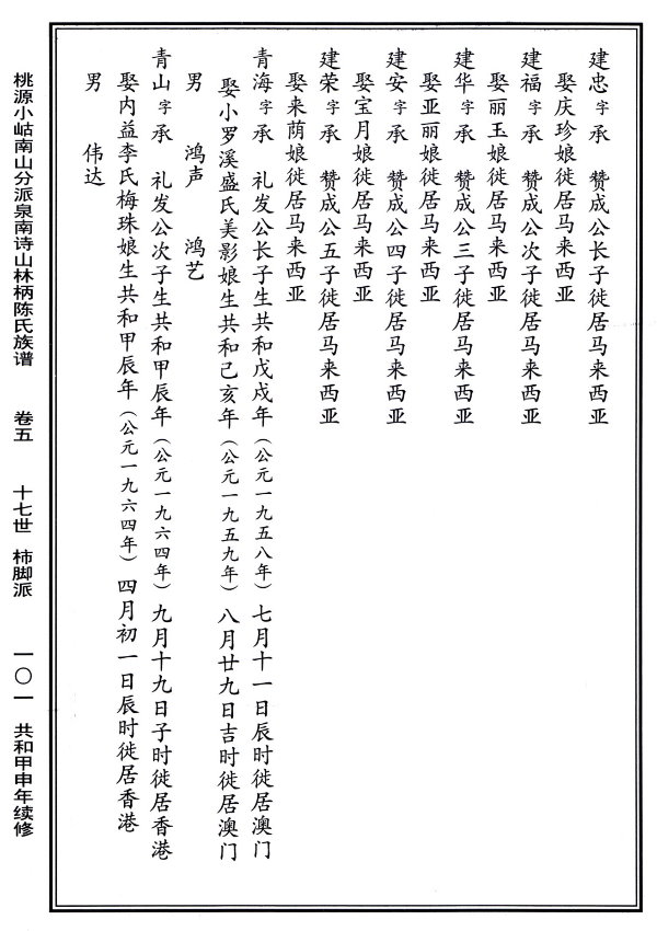
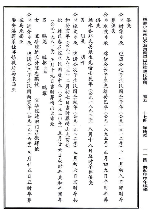
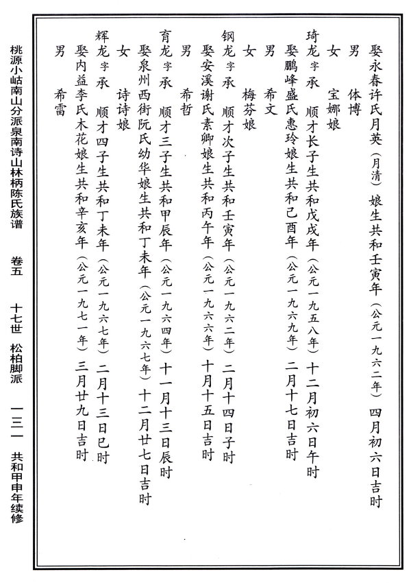
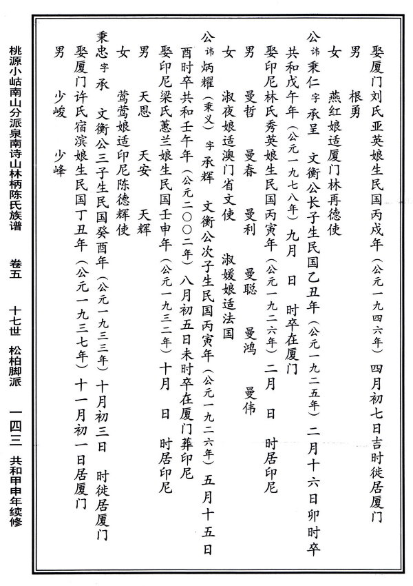
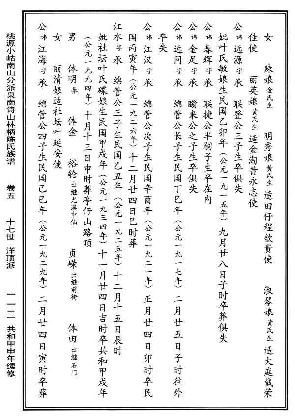
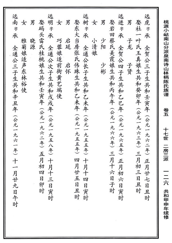
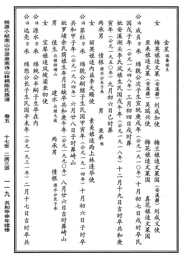
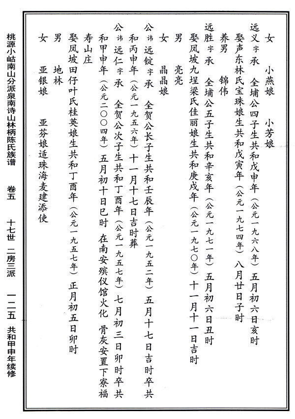
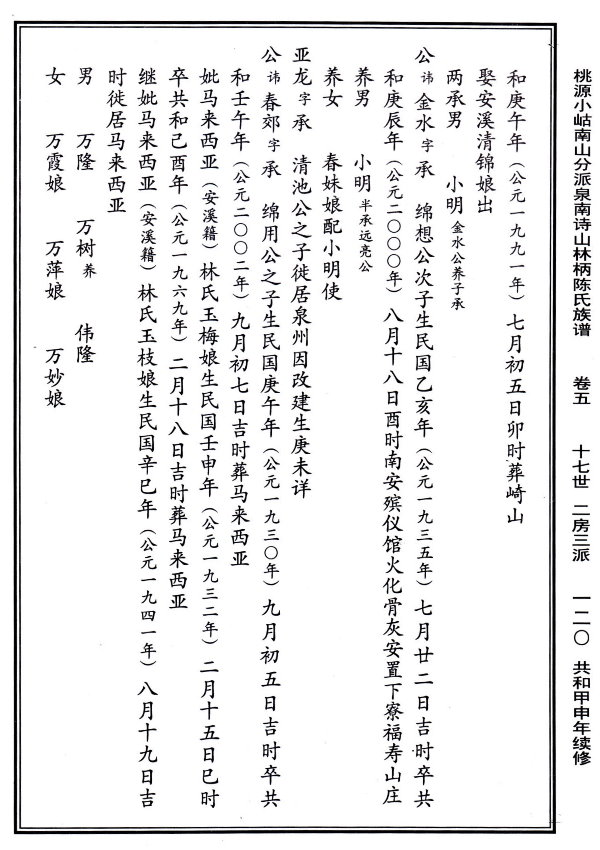
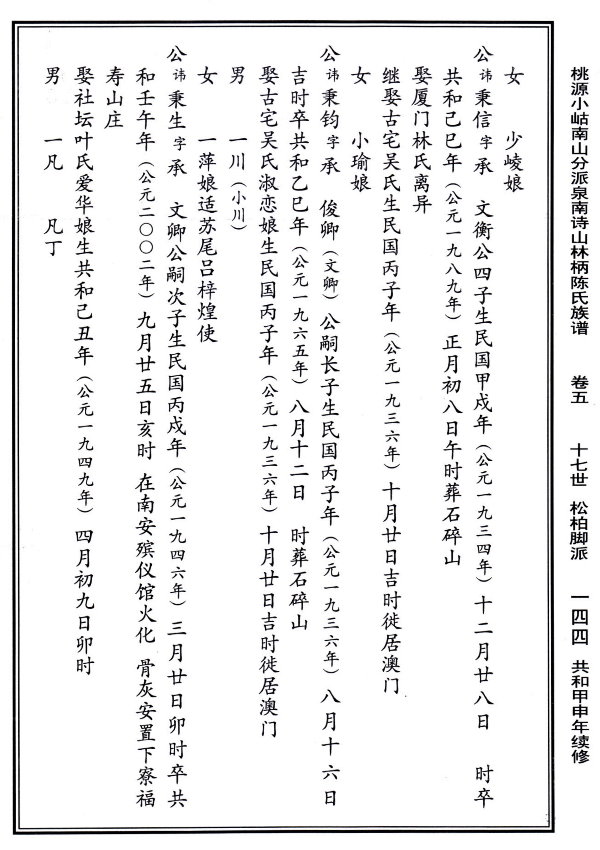
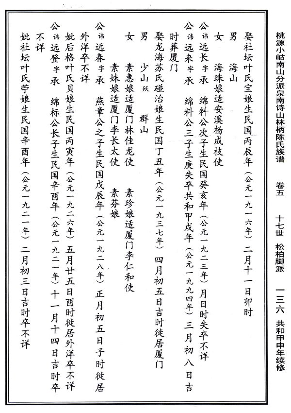
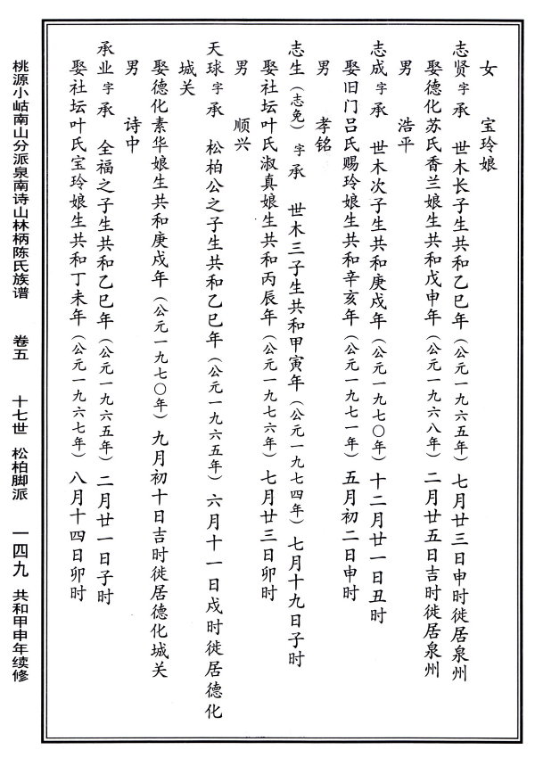
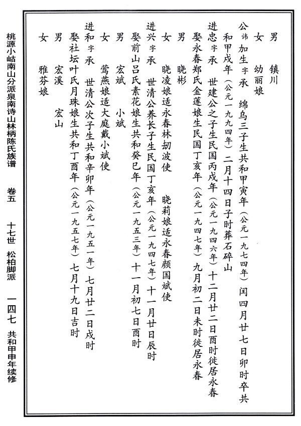
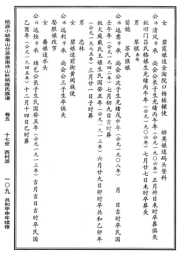
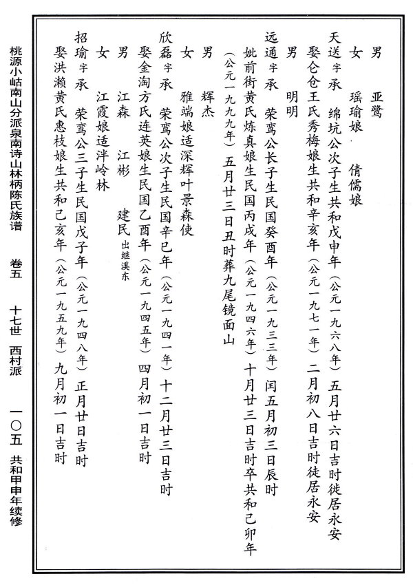
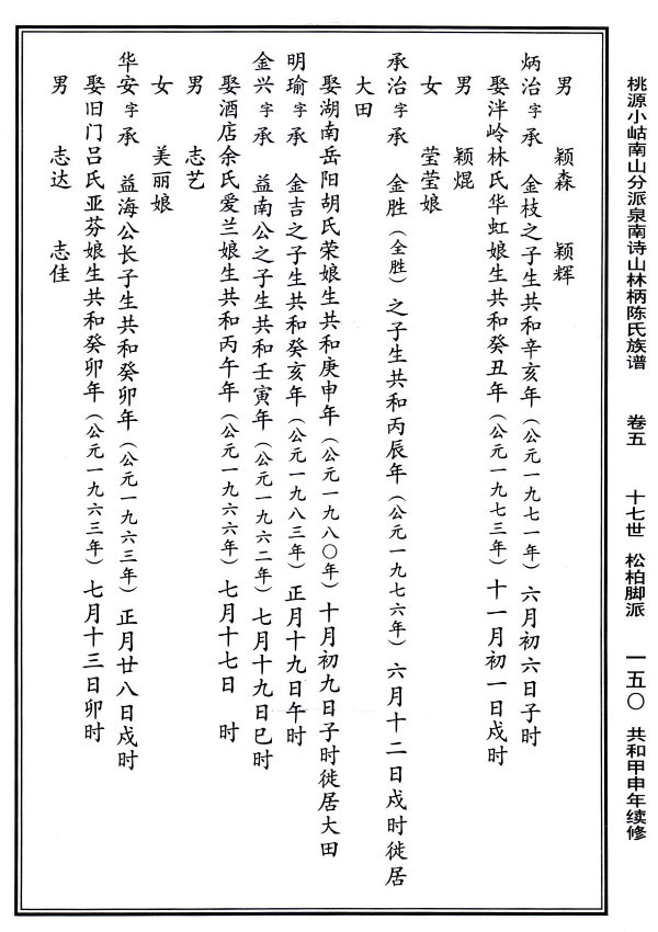
詩山林柄陳氏族譜

第五卷 P.101 - 150