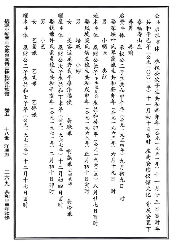
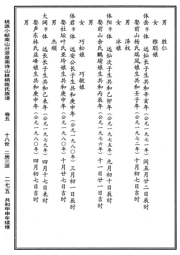
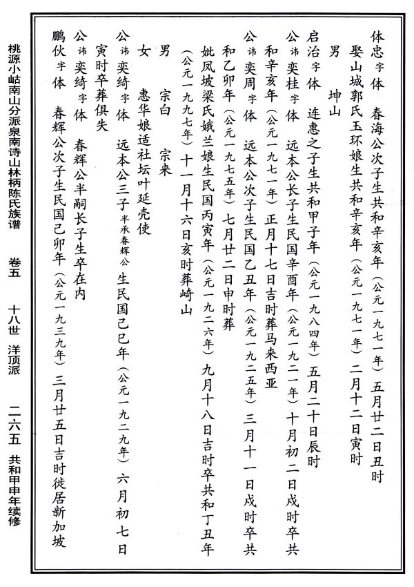
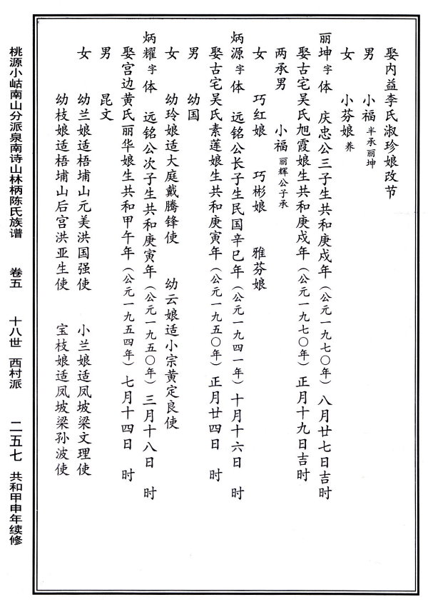
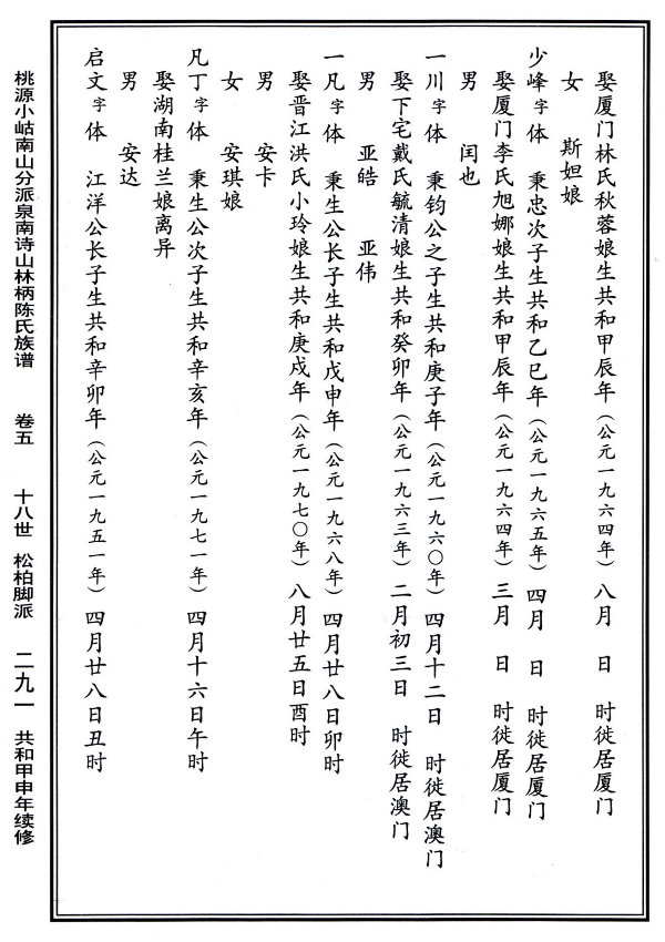
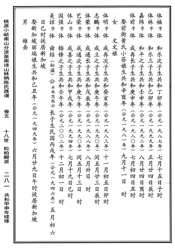
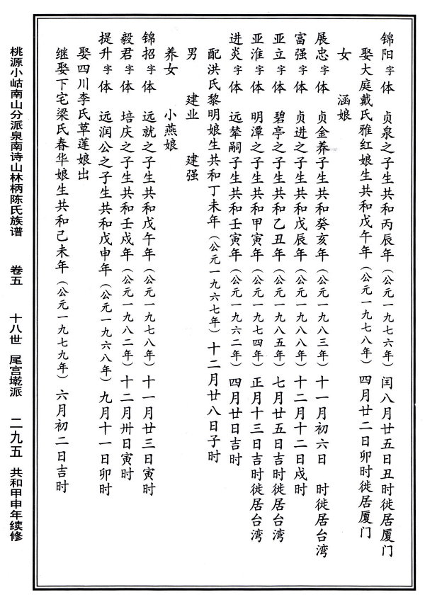
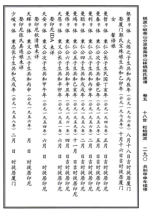
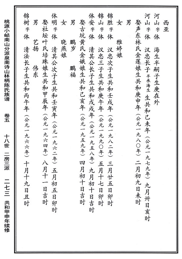
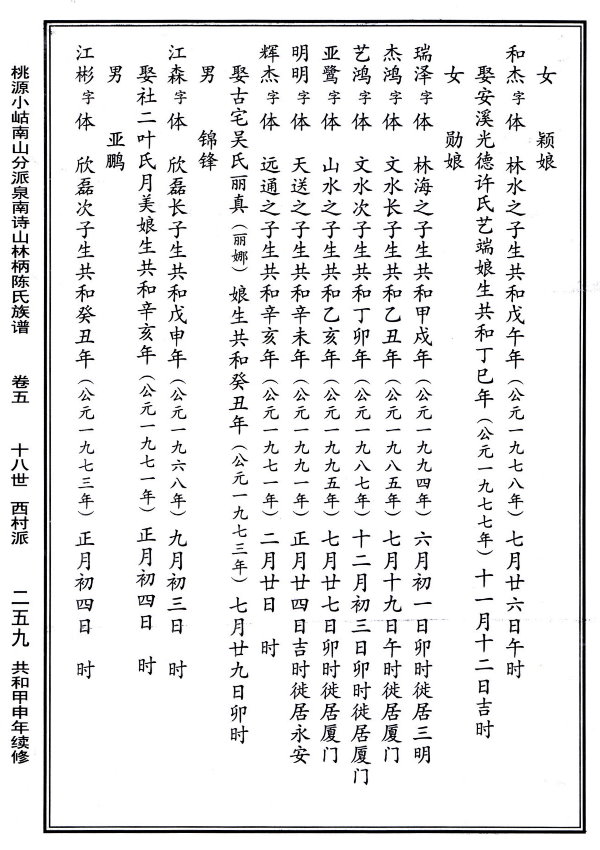
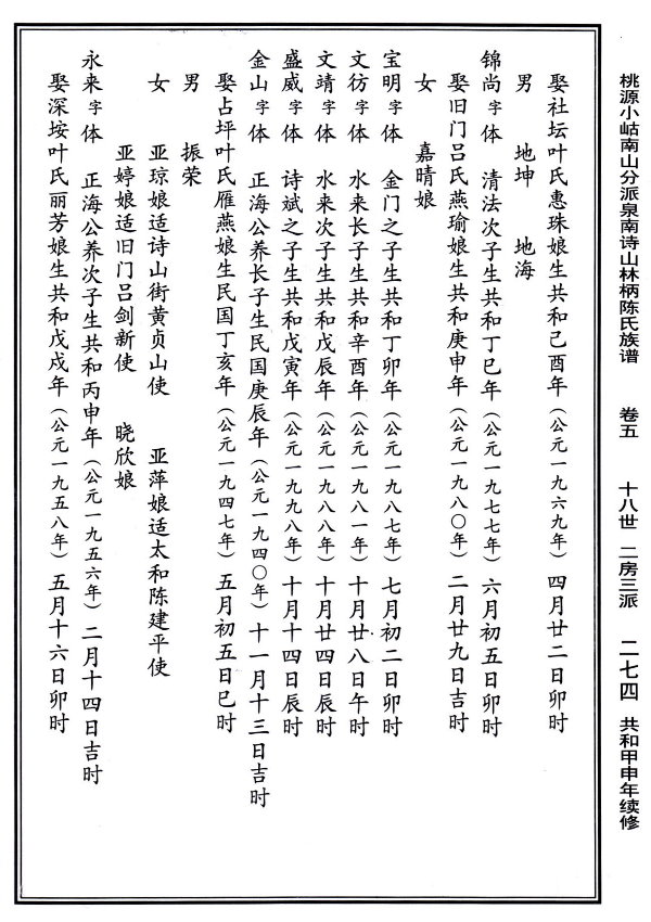
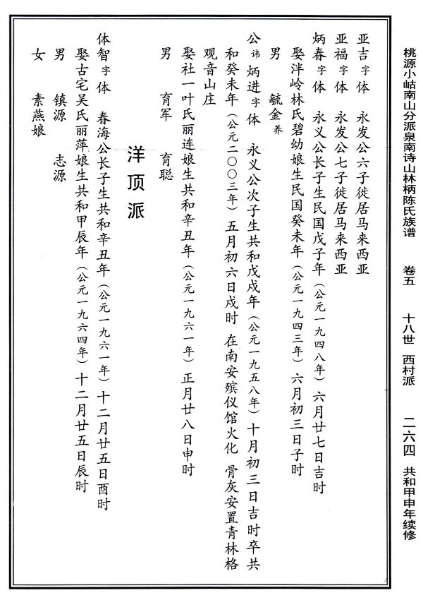
詩山林柄陳氏族譜

第五卷 P.251 - 300