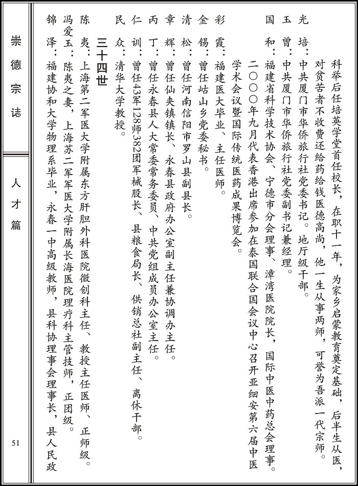
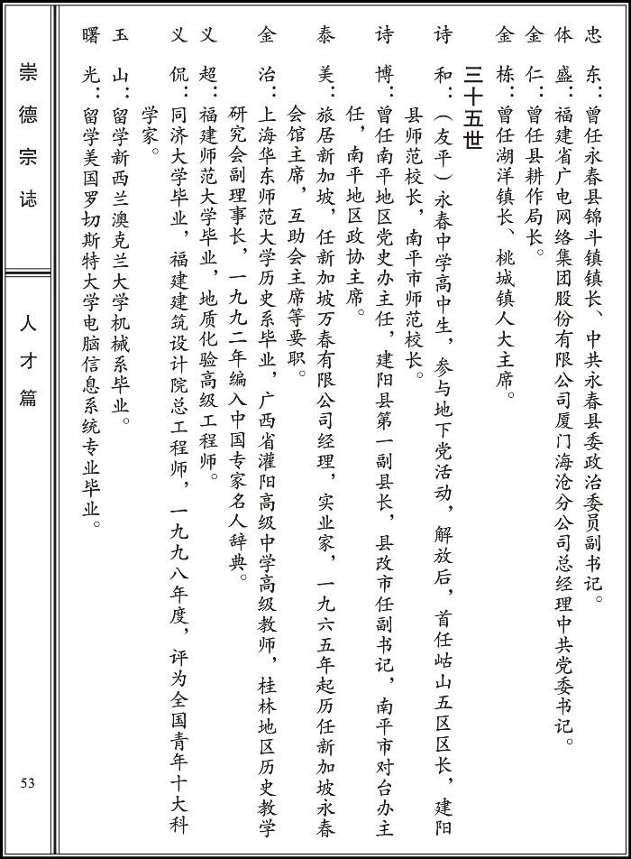
當前位置:首頁 » 崇德宗誌 »

崇德公派下傳略

作者:  來源:崇德譜志2014  更新時間:2015年10月09日

崇德公派下傳略

 

Copyright©2006 - 2016 www.nanchens.com  版權所有:南陳宗親網

網站管理員:陳承溢 電話:0852 - 9802 6641 傳真:0852 - 2911 4810 電郵:cs@nanchens.com QQ:2668771678

如果本站中有內容侵犯了您的版權,請您通知我們,我們將及時取得您的授權或馬上刪除。謝謝!